Eriodictiol(enllaç:https://www.bloomtechz.com/synthetic-chemical/api-researching-only/eriodictyol-powder-cas-552-58-9.html) és una pols de color groc clar i té diverses activitats farmacològiques, com ara antioxidació, antiinflamatòria, analgèsica i altres activitats, així com diürètica, millorant la diabetis i les complicacions de la diabetis. Antioxidants. Ampliament present en cítrics, verdures i moltes plantes medicinals, té efectes antioxidants, antiinflamatoris i neuroprotectors, per la qual cosa té un valor potencial per al seu ús en indústries farmacèutiques, nutracèutiques o alimentàries. Actualment, les principals vies d'obtenir eriodictiol són l'extracció de plantes o la síntesi química. L'ús de microorganismes dissenyats per produir eriodictiol no es veu afectat pels canvis estacionals. Té les funcions d'antioxidació, antiinflamatòria, analgèsia i millora de la diabetis i les complicacions de la diabetis. Els estudis han trobat que l'eriodictiol pot protegir eficaçment els queratinòcits de la mort induïda pels raigs UV inhibint la divisió de la pro-caspasa-3 o pro-caspasa-9 i l'alliberament del citocrom C.
Eriodictyol és un flavonoide natural amb una àmplia gamma d'aplicacions. Els diferents usos d'Eriodictyol es descriuen amb detall a continuació.
1. Protegir el sistema digestiu:
Eriodictyol ha estat estudiat per a la cura i promoció de la salut digestiva. Té els efectes següents:
- Efecte antiinflamatori: Eriodictiol té un efecte antiinflamatori que redueix la inflamació del tracte gastrointestinal. La inflamació és un dels principals processos patològics d'algunes malalties del sistema digestiu com l'úlcera gàstrica i la malaltia inflamatòria intestinal.
- Activitat antiúlcera: s'ha trobat que l'eriodictiol és protector contra les úlceres gàstriques. Alleuja els danys a la mucosa gàstrica i afavoreix la curació de les úlceres gàstriques.
- Efecte antibacterià: Eriodictyol té un efecte inhibidor sobre alguns bacteris patògens comuns del sistema digestiu, incloent Escherichia coli i Helicobacter pylori. Aquesta activitat antimicrobiana ajuda a prevenir problemes gastrointestinals causats per infeccions bacterianes.
- Regula la motilitat intestinal: l'Eriodictiol pot regular el peristaltisme intestinal i la funció digestiva, ajudant a millorar el funcionament normal del sistema digestiu.
2. Afavoreix la salut dels ossos:
Eriodictyol té alguns beneficis potencials per a la salut dels ossos. Això és el que fan alguns d'ells:
- Efecte antiinflamatori: Eriodictyol té activitat antiinflamatòria que redueix la inflamació al voltant dels ossos. Això és especialment important per a malalties inflamatòries òssies com l'osteoporosi i l'artritis.
- Efecte antioxidant: com a potent antioxidant, Eriodictyol pot neutralitzar els radicals lliures i reduir l'aparició de danys oxidatius al teixit ossi. Això ajuda a mantenir la salut de les cèl·lules òssies i redueix el risc de pèrdua òssia.
- Promoció de l'absorció de calci: els estudis han demostrat que l'Eriodictyol pot augmentar la taxa d'absorció de calci al cos, ajudant així a mantenir la densitat òssia i la salut òssia.
- Citoprotecció: Eriodictiol protegeix les cèl·lules òssies del dany, inhibeix el procés destructiu de reabsorció òssia i afavoreix l'osteogènesi.
3. Millora l'aprenentatge i la memòria: alguns estudis suggereixen que Eriodictyol pot ajudar a millorar l'aprenentatge i la memòria. Pot afectar l'alliberament i la senyalització dels neurotransmissors, millorant així els processos d'aprenentatge i formació de memòria.
4. Circulació sanguínia millorada: una bona circulació sanguínia és essencial per mantenir la funció cognitiva normal. Es creu que l'eriodictiol millora la circulació sanguínia, proporcionant un subministrament adequat d'oxigen i nutrients al cervell, millorant així la funció cognitiva.
5. Efecte antiestrès: la resposta a l'estrès a llarg termini afecta negativament la funció cognitiva. Eriodictyol té efectes antiestrès, que poden reduir el dany de l'estrès al cervell i mantenir un estat cognitiu normal.

6. Com a receptors de radicals lliures i terminadors de cadena, els flavonoides poden exercir activitat antioxidant. La posició i la brillantor dels fotoradicals tenen una relació important amb la capacitat antioxidant dels flavonoides. Els flavonoides amb radicals lliures d'o-difenol a l'anell tenen l'activitat antioxidant més forta. Segons l'estructura química del pirogallol, el pirogallol és una flavona amb un grup lleuger d'orto-difenol a l'anell, i el pirogallol és un potencial antioxidant natural amb una forta activitat antioxidant.
7. A més, també és eficaç per prevenir el dany induït per proteïnes, lípids i oxidatius. El seu efecte protector pot ser inhibir l'atac dels radicals lliures a les macromolècules biològiques eliminant els radicals lliures, indicant que té una bona activitat antioxidant. L'estudi va trobar que el carnosol pot inhibir significativament l'activitat de les cèl·lules canceroses del fetge, que pot ser a través del seu efecte antioxidant per reduir el contingut de radicals lliures per sota del nivell fisiològic, inhibint així l'activitat de les cèl·lules canceroses del fetge.
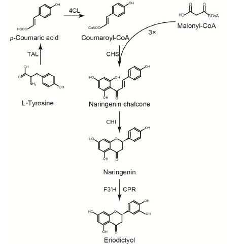
8. Utilitzant l'aminoàcid aromàtic L-tirosina (L-tirosina) com a font de carboni, es metabolitza a Escherichia coli.

9. Agent antibacterià:
Eriodictyol té activitat antibacteriana contra una gran varietat de bacteris i fongs, incloses les soques resistents. Per tant, es pot utilitzar en el desenvolupament d'agents antibacterians, desinfectants i productes per a la cura de la pell.
10. Agents antidiabètics:
Eriodictiol pot ajudar a controlar els nivells de sucre en sang augmentant la sensibilitat a la insulina, inhibint la glucòlisi i regulant les vies metabòliques de la glucosa en sang. Per tant, s'estudia per al desenvolupament de fàrmacs per tractar la diabetis i regular el sucre en sang.
11. Agents protectors cardiovasculars:
Eriodictiol té un efecte protector sobre el sistema cardiovascular i redueix el risc d'atacs cardíacs. Funciona millorant la funció endotelial vascular, inhibint l'agregació plaquetària i reduint la inflamació vascular.
12. Agents neuroprotectors:
S'ha demostrat que l'eriodictiol té efectes protectors sobre el sistema nerviós i pot reduir els símptomes de malalties neurodegeneratives com l'Alzheimer i les malalties de Parkinson. Funciona reduint l'estrès oxidatiu, suprimint la neuroinflamació i modulant la senyalització de les cèl·lules nervioses.
13. Antioxidants:
Eriodictyol té una important activitat antioxidant, que pot neutralitzar els radicals lliures i reduir l'estrès oxidatiu i el dany oxidatiu. Per tant, s'utilitza àmpliament en productes per a la cura de la salut, productes per a la cura de la pell i productes anti-envelliment.
L'eriodictiol té les funcions d'antioxidació, antiinflamació, analgèsia i millora de la diabetis i les complicacions de la diabetis (. Alguns estudis han trobat que l'eriodictiol pot inhibir la divisió de la pro-caspasa-3 o la pro-caspasa{{5 }} i l'alliberament del citocrom C, protegeix eficaçment la mort dels queratinòcits induïda pels raigs ultraviolats. L'eriodictimol pot ser antibacterià i antiinflamatori, i té un paper vital en la patogènesi de la diabetis i pot inhibir la inducció de la immunoglobulina E (Ig). E)/antigen (Ag) Reacció al·lèrgica de tipus, també té efecte analgèsic i escalfador.

